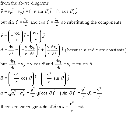
When an object moves in a uniform circular motion it's velocity vector is always changing direction even if it's magnitude (speed) is constant, and there must be an acceleration to account for this change in velocity, below we derive equations that show how these things are related.





P10C Homepage