EL22C CLASS TEST #2 ANSWERS   Thursday, April 5, 2001

Answers for Question 1 and Question 2...... HERE

Answer for Question 3........ HERE

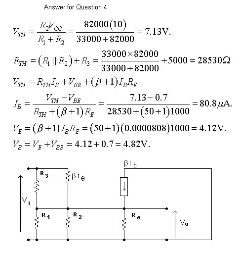
Answer for Question 4........ HERE


EL22C Homepage